Please upload your talks before meeting starts

TRD-2D weekly

Europe/Bucharest
Conference room Building A (DFH)

Conference room Building A

DFH

Alexandru Bercuci (IFIN-HH)
Description

  Weekly reports on local activities done for the TRD-2D project of the CBM collaboration.

Meeting Access Information

    • 09:00 09:05
      Intro 5m
      Speakers: Alexandru Bercuci (IFIN-HH), Andrei Herghelegiu (National Institute of Physics and Nuclear Engineering (IFIN-HH)), Claudiu Schiaua (IFIN-HH/DFH), Gheorghe Caragheorgheopol (National Institute of Physics and Nuclear Engineering (IFIN-HH)), Laura Radulescu (IFIN-HH), Mariana Petris (National Institute for R&D in Physics and Nuclear Engineering (IFIN-HH), Bucharest), Prof. Mihai Petrovici (National Institute for Physics and Nuclear Engineering (IFIN-HH)), Vasile Catanescu (National Institute of Physics and Nuclear Engineering (IFIN-HH))
    • 09:05 09:25
      mCBM preparation 20m

      -status of FEB production / test

      Speakers: Claudiu Schiaua (IFIN-HH/DFH), Alexandru Bercuci (IFIN-HH)

      Tactica

      • -> 15.01 - primele 3 cartelele de test ajung in DFH
        • ??? - in functie de rezultatul testului David & Christian & TRD1D primesc OK-ul pentru scoaterea TRD2D din cave si depozitare
        • ??? - upgrade infrastructura cave (HV, Optic fibers)  (DE, CS & PK, FR) 
      • -> ??.02 - toate cartelele testate in DFH si gata pentru transport
      • -> 21.02 -> 28.02 - montare FEB si instalare TRD2D in mCBM
        • 22.02 - 24.02 - SIS 12C -> 18O. Cave inchis dar pot exista ferestre ! Asemenea pentru 28.02, SIS 18O -> 197Au. 
      • -> 28.02 - teste locale, debug
      • -> 29.02 - primul fascicol de Au pt mCBM, teste (locale)
      • -> 4.03 - 8.03 - CM
      • -> 18.03 - al doilea fascicol de Au pt mCBM (probabil)

      Mecanica

      • suporti cartele cu inaltime variabile (RAndrei)
      • tresa de masa

      LV [done]

      • de testat dependenta puterii de counting rate (pulser)

      HV

      • 3 canale HV ISEG (Philipp) [done]
      • 3 cabluri HV 5m (SHV) (done)
      • 3 cabluri HV 10m 10m (SHV)(done)
      • de verificat filtrele de HV

      DAQ

      • CROB - inca 3 buc (Joerg / Claudiu)
      • optical fibers pentru 6 CROB/module + mapping (David / Claudiu) (done)
        • CROB13 fara conexiune la prima testare - De schimbat CROB [in progress]
    • 09:25 09:45
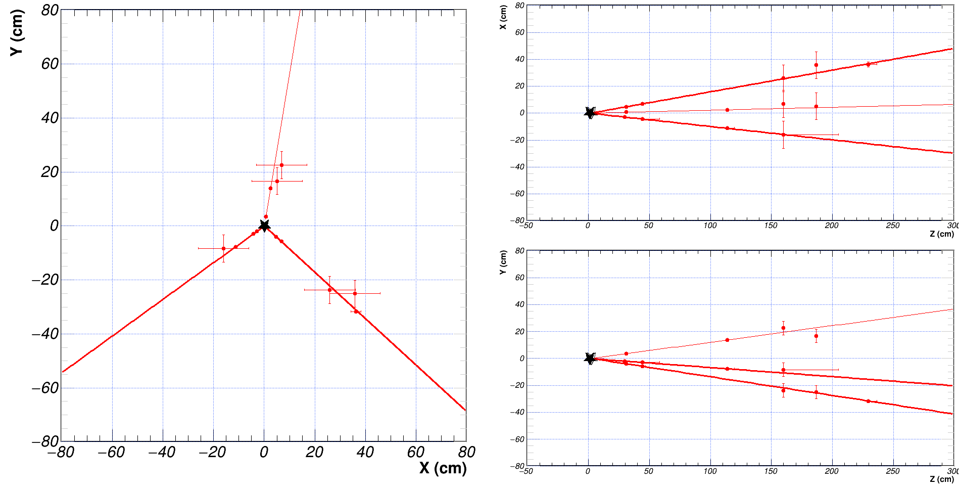
      TRD2D performance @ mCBM 20m
      • providing the frame for understanding the TRD detector
      • position performances
      • towards CM
      Speaker: Alexandru Bercuci (IFIN-HH)
    • 09:45 10:05
      HV @ CBM proposal 20m
      • design versions
      • a possible inkind entry
      Speakers: Claudiu Schiaua (IFIN-HH/DFH), Alexandru Bercuci (IFIN-HH)
    • 10:05 10:35
      Production readiness prototype status 30m
      • Placa de montaj pentru construirea detectorului (RAndrei / Laura) (20.02)
      • lista de preturi actualizata pentru constructia unui module TRD2D -> Addendum (Laura)
        • oferta 1 : ProPlastic Bucuresti [done]
          • livrare 20.02.24 [Laura] [in progress]
      • Fire Anodice
        • aliniere anod vs catod (Andrei N/Alex) https://indico.nipne.ro/event/287/  - 24.02 [in progress]
        • RAMA DE BOBINAT (R Andrei / Andrei H / Andrei N / Laura /) - 10.02[in progress]
        • calibrare masurat pitch/tensiune (Andrei H) [done]
      • HV box : 
        • PCB (Cara/Bugi/Claudiu) achizitie de piese [running]
        • PCB design [done]
          • s-a identificat o posibila strapungere electrica la condensatori - solutie cu Silicon, Araldit, etc
        • Proiect mecanic (Andrei R.) [in progress]
        • Surse ISEG : CBM OK, pret ???, incercam o integrare LV + HV + pulser (Claudiu, Alex, Laura, Cara)
        • Testare cablu SHV la radiatie IRASM {Laura / Cara}
      • Cartela FEB (mass production) - testare [in progress]
      • Cartela DCS (senzoti temperatura, ADC, interfata DCS, interfata TFC, programare JTAG, pulser) 
        • (may use lpGBTx / GBTx) 
      • simulari pentru noua geometrie (mecanica + FEE) 
        • material budget pentru varianta aleasa (Alex) [in progress]  
    • 10:35 10:55
      FASP bonding [on hold] 20m
      • final conclusions
      • strategy
        TBD dupa finalizarea testelor la mCBM24
      Speakers: Claudiu Schiaua (IFIN-HH/DFH), Alexandru Bercuci (IFIN-HH)

      de discutat dupa campania de la mCBM